理事单位动态 基于压力敏感区域方法的供水管网漏失区域定位研究
《净水技术》期刊自成立刊务理事会以来,一直秉承着脚踏实地为理事单位服务、积极宣传报道理事单位先进成果的原则,特设立“理事单位动态”栏目,将不定期发布刊务理事会理事单位的工作成果、科研动态、工程项目等内容,为行业发展提供更多资讯与方向指引。
《流量中国》:创刊于2004年,上海肯特企业内刊,致力于为用户提供更多行业信息、技术交流、应用心得,创建一个学习、交流和分享的平台,助力水务行业发展。
摘要:为有效降低城市供水漏损率,快速、准确定位漏失位置,基于压力敏感区域方法,以A市为研究区域对供水管网漏失区域定位进行研究,以压力监测设备与节点漏失之间的水力关联特性对供水管网进行区域划分,建立管网漏失敏感区域,当某处发生漏失时,可立即定位到漏失区域。结果表明,当漏失响应阈值为97%时,覆盖节点数量最多,敏感区域划分最为准确,且漏失点离压力监测点仅200m左右,定位效果明显。相较于常规的漏失检测方法,该方法能有效缩小检漏范围,提高检漏效率。
随着水资源保护及高效率供水的逐步推进,减少供水管网漏失成为水务部门亟需解决的问题,而提高供水管网漏失点定位效率是控制管网漏失的主要手段之一。管网中压力监测点的数据可有效反映正常工况下管网压力值,在漏失发生时结合相应的水力模型能够更准确地对漏失点进行定位。宋杰等构建了PSO-SVM模型对管网各运行状态特征数据集进行训练预测,对漏点进行定位并估算各漏点漏水量,但支持向量机的速度有待进一步提高,DO GUEN YOO等提出了基于数据驱动模拟和极限控制分析的给水管网爆管检测方法,分析得出不同的爆管位置及爆管大小对整个管网形成压力趋势亦不同;王俊岭等建立漏损点位置与测压点压力之间的非线性关系进而构建出基于BP神经网络的实时漏点定位模型。
上述研究方法虽在一定程度上对漏失点定位方面有所贡献,但在定位精度上仍有一定的局限性。为此,本文在已有研究成果的基础上,以A市为研究区域,基于压力敏感区域方法对管网漏失区域进行定位,分析对比了三种不同阈值的区域划分,寻找最优的漏失响应阈值,可准确地定位漏损点位置,缩小检漏范围,对提高管网输水安全性、减少企业制水成本具有重要意义。
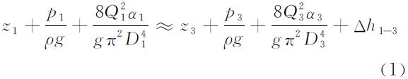
通常情况下同一供水管道中出现多处漏失的可能性较小,故考虑管道只有一处发生漏失情况。假设将管道漏失点等效为一个直径为D3、断面面积为A3的漏失口,从水力学的角度出发,通过对断面A1、A3列伯努利方程:
式中,Z1、Z3为断面 A1、A3单位重量流体的重力势能,m;P1、P3为断面 A1、A3处的平均压力,m;D1、D3为断面 A1、A3管道的直径,mm;α1、α3为断面 A1、A3的动能修正系数;△h1-3为断面A1、A3间的水头损失,m。
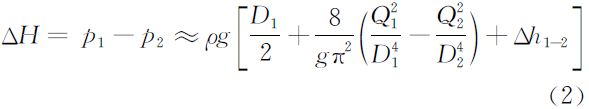
式(1)中,令α1=α3=1,z1与z3 之差为D1/2,得出压力差,则有:
由式(2)可知,管道的管径、漏失点的漏孔直径、管段流量、漏失水量及两个断面间的水头损失均与漏失点处压力的变化值有关。一般正常运行状态下的管网,其管道管径、管段流量均不会发生变化,故漏失压力变化值与漏孔直径关联最为密切。当漏失点孔径越大时,相应压力变化越大,故在某处发生漏失时,管道中压力比正常管道中压力偏小。
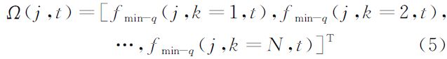
根据压力监测设备与节点漏失之间的水力关联特性对供水管网进行区域划分,通过确定每一个压力监测设备的最敏感漏失响应子区域即漏失监视区域,然后利用SCADA系统监视供水管网压力设备在线数值,一旦发现某个压力监测设备k在t时刻数值存在异常情况即实测压力值小于漏失响应阈值,可锁定其关联的子区域为漏失区域,从而达到快速识别漏失区域定位的目的。
式中,Ck(t)为压力监测设备k=1,2,…,k(k为管网中压力监测设备总数目)在t时刻的漏失响应阈值;fn %(·)为数据序列n%分位数函数,n取值为2~10之间,取最优;[P1(t),P2(t),…,Pn(t)]T为压力监测点k在每一天同一时刻t的压力历史值;M为历史值数目。
式中,fmin-q(j,k,t)为节点j在t时刻能引起压力监测设备k报警的最小流量;hk(t,qj)为节点j在漏失流量qj时监测设备k的压力,对于任意qj有hk(t,qj)>Ck(t)。
确定每个压力监测设备监视的节集ST(k,t),各压力监测设备对其监视区域内的节点压力波动最为敏感,一旦节点处发生漏失,其监测区域压力监测设备数值波动明显。
A市供水管网由两座水厂即东1水厂和东2水厂供水,日设计供水能力20×104m³,现状日供水13×104m³。A市共有阀门2517 个、管道敷设长度395km、压力监测点31个、大用户55 个、关闭的阀门共19个。基于2018年12月22日泵站的运行数据,东1、东2水厂供水量分别为77063、45085t/d。表1为两座水厂的泵站参数统计表。
建立A市城市供水管网水力模型,采用节点流量和压力综合考虑校核,经验证校核误差在合理范围内,所建立的水力模型符合实际的管网情况。
针对管网运行现状,利用基于粒子群的模糊C均值聚类法对供水管网压力监测点进行优化布置。首先计算正常工况下节点的压力值,然后在节点原始需水量的基础上上调15%,其余节点流量不变,循环上述步骤。计算管网平差前后其压力影响系数矩阵并对其进行求解,利用聚类分析方法计算出管网中不同节点压力影响程度,接着从同一类中选取代表性最强的节点,即节点中该节点到其余节点的距离最短且敏感程度最大,将该节点作为压力监测点。
近年来,随着政府重视城市管网漏失事件,需加大管网中压力监测点数目,故新增压力监测点也需合理布置。利用基于粒子群的模糊C类均值聚类法优化A市管网中监测点的位置,由原先的31个新增到52个压力监测点,均匀地分布于管网中,见图2。由图2可知,优化布置压力监测点后,所选压力监测点的位置在管网中分布较为均匀,且新增压力监测点覆盖范围约90%,可很好地反映管网压力状态变化,有利于后续A市管网漏失定位的研究。
收集2019年9-11月4:00 压力实测值共52个压力监测点,剔除其中无用数据,将每个压力监测点的压力值按照从小到大序列排列,按式(3)计算出每个压力监测设备漏失响应阈值。
首先设置n取10时,其计算结果见表2。利用水力模型模拟漏失工况,将漏失流量设置为5~30m³/h,计算步长设置为1,可计算出每个压力监测点所对应的压力报警流量集。当有部分节点对应两个及以上的压力监测点时,即此节点发生漏失会导致周围两个及以上压力监测点发生报警,漏失监测区域将锁定为两个或多个监测点漏失监测区域的交叉范围。将节点及压力监测点数据导入ArcGIS数据库中,与A市管网数据库相连接,可将A市供水管网划分为若干个漏失监测区域,每个压力监测点会形成一个漏失监测范围。统计监测点所涉及的节点范围,并进行合理划分,利用计算机编程,计算时长约5h,得出图3阈值为90%的漏失监测区域划分图,颜色轻重程度表明每个压力监测点所敏感管网的漏失区域。
当n取5时,同理可得其计算结果见表3。利用水力模型模拟漏失工况,得到每个压力监测点所对应的报警流量集,同理可绘制其阈值为95%的漏失监测区域划分图见图4。
当n取3时,同理可得其计算结果见表4。利用水力模型模拟漏失工况,得到每个压力监测点所对应的报警流量集,同理可绘制其阈值为97%的漏失监测区域划分图见图5。
由表2~4、图3~5可知,当阈值取值为97%时,得到A市供水管网的漏失监测区域最为准确,且节点覆盖面积最大。故选取图5作为A市漏失监测区域。
在实际管网发生报警时,有两种情况确定其漏失监测区域:① 当监测点监测漏失区域未与任何一个监测点监测范围存在交集,若该处发生漏失报警时,则会直接锁定漏失点在该监测点的所有监测范围。②当有两个及以上监测点监测漏失区域存在交集,若两个监测点同时发生报警时,则可锁定漏失点在两者交集范围内;若其中一个监测点发生报警,而另外一个未发生报警,则可将漏失点定位在发生报警监测点的漏失监测区域去除交集监测区域即补集监测区域。
2019年8月25 日A市某小区门口 DN600管线。通过A市供水管网SCADA调度系统,调取当天每隔30min记录的压力监测点数据,其中监测点ID为11,B 中学压力表数据变化见图7。
图7 B中学压力监测点24h压力变化曲线可知,B中学压力监测点24h压力幅度变化在2m左右,管网中存在漏失,可锁定B 中学压力监测点漏失监测范围,如图6灰色部分区域,通过实地测量可知漏失点位置与B 中学压力监测点相距200m左右。
综上可知,在实际管网中,利用压力敏感区域法可准确锁定漏失点区域位置,由实际管网可知漏失点离压力监测点200m 左右,缩小了检漏范围,提高了检漏效率,可为水务集团节约水量,降低产销差提供技术指导。
a.将管网优化布置后,划分为若干个漏失监测区域,采用压力敏感区域法对漏失区域进行定位研究,发现当压力监测点压力发生异常时可准确锁定漏失点区域位置,解决了以往漏失范围过大、难以确定漏失点位置等问题。
b.不同漏失响应阈值,对应的节点覆盖面积亦不同,当漏失响应阈值达到97%时,效果最优,且漏失点离压力监测点距离在200m左右,有效地缩小了检漏范围。但未来可考虑用水量、天气、人口密度等因素综合分析响应阈值。
来 源 :上海肯特仪表 ,仅 供分享交流 不作商业用途,版权归原作者和原作者出处。 若有侵权,请联系删除 。


